
История Научно-технического журнала "Георесурсы" берет свое начало с 1999 года. За это время издано 98 выпусков журнала, где более 1800 авторов опубликовали 1400 статей, большая часть из которых опубликована на русском и на английском языках. Все опубликованные статьи размещаются в открытом доступе (Gold Open Аccess). На сайте журнала можно ознакомиться с реферативными обзорами некоторых опубликованных статей.
Журнал "Георесурсы" индексируется в базах Scopus, Web of Science (ESCI), RSCI, ядро РИНЦ. Квартиль журнала SJR – Q3. Уровень журнала в «Белом списке» – 1. Категория Перечня ВАК – К1.
За прошедшие десятилетия журнал, прочно стоявший на позициях беспристрастности и толерантности к научным идеям, заслужено занял авторитетное место среди подобных научных изданий в российском научном сообществе.
Редколлегия ждет от вас, уважаемые авторы, описания своих исследований, результатов работ и новых идей в области поисков, разведки, подсчета запасов и разработки месторождений нефти, газа, угля и твердых полезных ископаемых.
Наш журнал открыт для всех исследователей земных недр. Мы готовы размещать на страницах Научно-технического журнала «Георесурсы» разные, возможно конкурирующие, гипотезы о генезисе полезных ископаемых и рассматривать различные методы и способы их изучения.
Искренне ваши,
Соколов Александр Владимирович
Главный редактор журнала "Георесурсы", кандидат геол.-минерал. наук, член-корреспондент РАЕН
Христофорова Дарья Анатольевна
Учредитель и издатель журнала "Георесурсы"
Текущий выпуск
СЛОВО ГЛАВНОГО РЕДАКТОРА
В послании Филипп II призвал спартанцев немедленно сдаться, потому что «если я захвачу Спарту силой, то беспощадно уничтожу всё население и сравняю город с землёй!» На это спартанцы ответили одним словом: «Если».
Подобная притча как нельзя кстати подходит для описания текущего момента. Если будет продолжаться падение мировых цен на сырую нефть... Если доля экспортного американского СПГ продолжит расти на мировом рынке... Если Китай продолжит сокращать потребление ископаемого топлива… Если Индия станет больше закупать венесуэльской или иракской нефти… Если страны ОПЕК+ продолжат наращивать добычу нефти… Если Аргентина и Гайана будут увеличивать свою нефтяную долю на мировом рынке… Если Саудовская Аравия распакует свои резервные мощности по добыче… Если нефтегазовые мэйджоры Shell и TotalEnergies, «наигравшись» с ВИЭ, начнут делать ставку на СПГ… Если Европейский союз к 2027 году окончательно попрощается с российскими энергоресурсами… Если «Сила Сибири-2» будет построена к тому моменту, когда мировая цена на СПГ будет составлять $150 за 1000 кубометров… Если Турция прислушается к «просьбам» и перекроет каналы газового транзита...
Если… если… если…
А что мы противопоставляем этим «если»?
Энергетическую стратегию до 2050 года, в которой планируемые годовые уровни добычи российских энергоносителей соответствуют лучшим временам начала ХХI века, на фоне обвального истощения месторождений-гигантов советского периода?
Концепцию развития ресурсной базы УВС ХМАО-Югра до 2050 года, где повторяются заклинания «увеличить инвестиционную привлекательность», «повысить эффективность старых месторождений», «совершенствовать систему информационного обеспечения» и т.д. и т.п.?
Круглогодичную навигацию по Севморпути для экспорта СПГ и сырой нефти в страны АТР?
Увеличение налоговой нагрузки на нефтегазовую отрасль на фоне роста доли трудноизвлекаемых, читай, нерентабельных запасов УВС?
«Возрождение легенды» в арктических широтах Якутии, где скудными средствами госбюджета планируют найти нефтегазовые месторождения, которые, если и будут найдены, в обозримые десятилетия останутся за гранью экономической разумности освоения?
Рост количества технологических полигонов на фоне 15 лет безуспешных попыток дать промышленную добычу УВС из баженовских, доманиковых, хадумских и прочих нефтематеринских горизонтов?
В ближайшем будущем мир ожидает потенциально крупный переизбыток нефти и газа на рынке. И останутся только те компании, кто сумеет обеспечить рентабельность всего цикла производства в линейке «Upstream – Downstream». Но это будет возможно только при условии, когда налоговая политика будет стимулировать компании к модернизации и не будет субсидировать сохранение отсталых производств за счет средств бюджета и других налогоплательщиков.
И уже по традиции, о позитивных новостях
Чтобы уберечь свой газовый сектор от вторичных санкций, Китай выделил порт Бэйхай, не имеющий международных связей, для регулярного приема СПГ, полученного с «Арктик СПГ 2». Уже третий танкер со сжиженным газом разгрузился в этом порту.
Искренне ваш,
Главный редактор журнала «Георесурсы»
Директор по геологоразведке ООО «ПЕТРОГЕКО»,
Член-корреспондент РАЕН, к.г.-м.н.
Александр Владимирович Соколов
ГАЗОВЫЕ ГИДРАТЫ
В статье представлены результаты количественной оценки прогнозируемых ресурсов субаквальных газовых гидратов в пределах исключительной экономической зоны России и на озере Байкал по состоянию на 01.01.2024 г. на трех различных уровнях: общем – для всех акваторий России, региональном – в пределах отдельных акваторий, и локальном – в конкретных скоплениях. Оценки выполнялись по методу удельных плотностей на основе численного моделирования зоны стабильности газовых гидратов, ее картирования и выявления газовых гидратов на основе интерпретации большого объема данных цифровой сейсморазведки МОВ ОГТ и результатов грунтового опробования морских отложений. В исключительной экономической зоне Российской Федерации выявлено и учтено 203 скопления газовых гидратов в морях Баренцевом, Лаптевых, Восточно-Сибирском, Беринговом, Охотском, Японском и Черном. Обосновано понятие «газогидратный резервуар». Суммарный объем газогидратных резервуаров российских морей и озера Байкал оценен величиной 520 трлн км3 , доля метана газовых гидратов в объеме газогидратного резервуара в среднем превышает 10% и оценивается величиной глобальных ресурсов газовых гидратов 147,6 трлн м3 . Наибольшим ресурсным потенциалом газовых гидратов характеризуются моря Берингово, Лаптевых, Охотское. Высокий газогидратный потенциал характеризует и российский сектор Черного моря. Газогидратные резервуары в морях приурочены к интервалу поддонных глубин от морского дна до 1200 м в стратиграфическом интервале от голоцена до олигоцена. Наибольшее количество скоплений приурочено к плиоценовым отложениям. Ресурсы газа в скоплениях газовых гидратов варьируют от 0,05 до 3719 млрд м3 , соответствуя по рангу традиционным газовым месторождениям от очень мелких (с запасами менее 1 млрд м3 ) до уникальных (с запасами более 300 млрд м3 ).
Обобщены исходные данные для расчета интервала стабильности газовых гидратов на месторождении Т Западной Сибири – температура разреза, пластовое давление, плотность газа по воздуху, минерализация пластовых вод. Определение положения подошвы криолитозоны моделировалось комплексированием термоградиента, рассчитанного при испытаниях скважин и положения подошвы многолетнемерзлых пород (ММП) по данным каротажа удельного электрического сопротивления.
В связи с неоднозначностью определения положения подошвы ММП и криолитозоны построены два варианта карт подошвы криолитозоны – минимальный и максимальный. Соответственно, было построено два варианта карт подошвы зоны стабильности газогидратов – минимальный и максимальный. Показано, что верхние газонасыщенные пласты месторождения Т находятся в зоне стабильности газогидратов.
Рассмотрены возможности использования микроорганизмов в качестве биоиндикаторов метановых экосистем в местах залегания газовых гидратов. Проведено исследование биоразнообразия микроорганизмов, и определены физиологические и биохимические свойства бактериальных штаммов, способных к окислению углеводородов, выделенных из донных отложений северной части Японского моря для двух районов: с обнаруженными газовыми гидратами (район 1) и без присутствия газовых гидратов (район 2). Комплексные газогеохимические, геологические и микробиологические исследования проведены на акватории северной части Японского моря – южной части Татарского пролива, и северного склона Приморского края.
Использованы материалы морских экспедиций: НИС «Академик Опарин» № 54 (OP54, сентябрь – октябрь 2017 г.) и НИС «Академик М.А. Лаврентьев» № 81 (LV81, май 2018 г.). Используя методы культивирования, выявлено, что представители семейства Nocardiaceae типа Actinomycetota привязаны к местам обнаружения газовых гидратов. Показано, что бактерии, выделенные из района с обнаруженными газовыми гидратами, проявляли способность ферментировать более широкий спектр углеводных субстратов по сравнению с культурами, полученными из негазогидратного района. Отмечена положительная корреляция между способностью к деструкции карбоновых кислот и отсутствием газогидратов.
Впервые выполнена оценка количества метана в газовых гидратах российского сектора Черного моря на основе вероятностно-статистического метода в пределах исключительной экономической зоны Российской Федерации с использованием оригинального программного обеспечения «Программный комплекс для оценки количества газа в газовых гидратах вероятностно-статистическим методом «Oceanic gas Hydrate Resource Assessment» (OHRA)». Приведены результаты количественной оценки с привязкой данных к расчетной сетке для рассматриваемой акватории, оценена пространственная дифференциация плотности ресурсов метана газовых гидратов. Представлена карта геотермического районирования Черного моря. Количество метана в гидратах оценено величиной 361.9 трлн м3 с вероятностью 5%, 120.5 трлн м3 с вероятностью 50%, 36.7 трлн м3 с вероятностью 95%. Установлено, что температура и давление – входные параметры, которые оказывают наибольшее влияние на оценку ресурсов метана газовых гидратов. При глубинах более 1500 м на ресурсы Р95 оказывает влияние масса метана, произведенного и мигрировавшего в зону стабильности газовых гидратов. Средние величины плотности прогнозируемых ресурсов гидратного метана при базовом варианте (Р50) вероятно-статистическим методом составляют 1.2 млрд м3 /км2 , при варианте Р95 – 0.36 млрд м3 /км2 , при варианте Р5 – 3.59 млрд м3 /км2 . Наиболее перспективными в отношении газовых гидратов морфоструктурами являются Западно-Черноморская впадина, прогиб Сорокина, Туапсинский прогиб, вал Андрусова, северная часть Восточно-Черноморской впадины, северная и южная части вала Шатского.
Работа посвящена особенностям прогнозирования и количественной оценки ресурсов метана в субаквальных криогенных газовых гидратах на шельфе российской Арктики. Основу работы составляет численное моделирование субаквальной криолитозоны и температурного режима морских отложений. В ходе математического моделирования были построены равновесные кривые гидратообразования с переменной соленостью морской воды, позволившие определить пространственное положение границ зоны стабильности газовых гидратов (ЗСГГ) криогенного типа. В районах прогнозируемой ЗСГГ по данным МОВ ОГТ оконтурены потенциально гидратоносные скопления. Оценено количество метана в четырех прогнозируемых подмерзлотных газогидратных скоплениях на шельфе моря Лаптевых. В выявленных скоплениях может содержаться порядка 0,1 трлн м3 метана в форме гидрата. Согласно выполненным оценкам регионального масштаба, на шельфе российской Арктики может быть аккумулировано до 9,24 трлн м3 метана или около 0,3% от общемировых геологических запасов газа в форме газовых гидратов.
В представленной работе на основе экспериментального моделирования рассмотрено влияние состава природных солевых растворов (криопэгов) на основные характеристики солепереноса и условия диссоциации поровых газогидратных образований в мерзлых породах. Исследования проводились на искусственно приготовленных мерзлых гидратонасыщенных песчаных грунтах, которые контактировали с замороженными солевыми растворами различного химического состава при атмосферном давлении и постоянной отрицательной температуре ~ –6 °C, т.е. в условиях проявления эффекта самоконсервации поровых гидратов метана.
В ходе экспериментального моделирования выявлено, что изменение соотношения содержания солей NaCl и MgCl2 в контактном растворе значительно влияет на процессы солепереноса и критическую концентрацию, вызывающую диссоциацию порового гидрата метана. Так, с понижением содержания NaCl (и повышением MgCl2 соответственно) в солевом растворе интенсивность солепереноса и процессов диссоциации газогидратов в мерзлом грунте увеличивается.
На основе метода ЯМР-релаксометрии проведена экспериментальная оценка фазовых превращений в мерзлых гидратосодержащих песчаных породах при их контакте с замороженными солевыми растворами. Полученные результаты указывают на закономерное продвижение во времени фронта повышенного содержания жидкой фазы воды в направлении миграционного потока соли. Как показывают ЯМР исследования, интенсивность продвижения фронта жидкой компоненты повышается в соответствии с увеличением миграционной способности ионов солей в ряду Na2 SO4 – NaCl – MgCl2.
Результаты экспериментального моделирования позволяют обосновать возможность дестабилизации внутримерзлотных газогидратных образований за счет перетоков и миграции различных природных солевых растворов (например, криопэгов или морской воды) вызванных как природными, так и техногенными причинами.
Актуальность исследования гидратообразования многокомпонентной газовой смеси в кварцевом песке с водой и растворами полимеров обусловлена риском образования гидратов в поровом пространстве вмещающих пород при комплексном воздействии на них закачкой газа и водополимерным заводнением с целью увеличения нефтеотдачи на месторождениях, приуроченных к Непско-Ботуобинской нефтегазоносной области (НБ НГО), которые характеризуются аномально низкими пластовыми температурами. Данные месторождения располагаются в зонах непрерывного и прерывистого распространения многолетнемерзлых пород, что в сочетании с низкими значениями теплового потока и большой теплоемкости пород слагающих их продуктивные горизонты, приводят к аномально низким пластовым температурам в пределах 8–17 °С, что на 50–60 °С ниже температуры, рассчитанной по геотермическому градиенту. Таким образом, пластовые условия залегания нефти на месторождениях НБ НГО находятся в зоне стабильности гидратов пластовых газов, а переходу газовой части месторождений в газогидратное состояние препятствует лишь отсутствие достаточного количества свободной от соли воды. В работе в качестве газа-гидратообразователя использовался природный газ Средневилюйского месторождения. Гидраты этого газа были получены в образцах кварцевого песка с размером зерен 0,4–0,3 мм. Весовая влажность песка в количестве 17,6% задавалась дистиллированной водой и следующими растворами полимеров: 1 г/л раствор полиакриламида, 5 г/л раствор натриевой соли карбоксиметилцеллюлозы и 30 г/л раствор полиэтиленгликоля. Фазовые переходы при образовании и разложении гидратов в системах «природный газ-песок-вода/раствор полимера» исследовались методом термического анализа. Показано, что в исследуемых системах образуются гидраты с кубическими структурами КС-I и КC-II. Анализ газа в гидрате КC-II проводился методом газо-адсорбционной хроматографии. Установлено, что в процессе образования гидратов КC-II происходит обогащение гидратной фазы углеводородами С2-С4, что является причиной смещения термодинамических условий их образования в область высоких температур и низких давлений.
Одной из особенностей многолетнемерзлых пород является способность аккумулировать в себе крупные скопления природного газа, в том числе и в гидратной форме. Информация о наличии внутримерзлотных гидратосодержащих коллекторов была получена в результате исследования мерзлых кернов, поднятых в ходе параметрического бурения, а также на основе анализа многочисленных данных о газопроявлениях из интервалов многолетнемерзлых пород при бурении разведочных и добывающих скважин в Арктике. В настоящее время установлено, что газовые гидраты по ряду физических показателей очень сходны со льдом, поэтому их выявление в толще мерзлых пород при использовании стандартных геофизических методов (в первую очередь сейсмики) достаточно затруднительно. Однако, как показали результаты проведенных экспериментальных исследований, газогидратная компонента может оказывать существенное влияние на некоторые физические характеристики мерзлых пород и процессы, которые протекают в толщах мерзлых пород в ходе их существования и эволюции. Так, наличие поровых гидратов в мерзлых породах способствует с одной стороны снижению их теплопроводности и фильтрационных характеристик, а с другой – существенному повышению прочности льдосодержащего коллектора. Отдельно рассмотрено влияние газогидратной компоненты на некоторые геофизические характеристики мерзлых грунтовых сред. В частности, отмечено закономерное повышение удельного электрического сопротивления мерзлых пород при увеличении гидратосодержания.
В ходе исследования показано, что изменения основных физических характеристик мерзлых пород в условиях накопления поровых газогидратов связаны не только с изменением соотношения поровый лед – поровый гидрат, но и с содержанием жидкой фазы воды в льдо-, газо- и газогидратных грунтовых системах. В итоге сделан вывод, что появление газогидратной компоненты с одной стороны существенно упрочняет мерзлый коллектор, а с другой проявляет тенденцию к снижению способности к тепло- и массопереносу.
Использование ресурсов криолитозоны в настоящее время – один из приоритетных вопросов в повестке научно-технологического и экономического развития Российской Федерации. Имеющиеся результаты изысканий подтверждают возможность использования криогенных процессов и явлений в инженерном деле, сельском хозяйстве, сохранении биологического разнообразия и в ряде других направлений, таких как, например, хранении газа в твердом гидратном состоянии. В данной работе приводятся результаты исследований диссоциации гидратов метана, полученных в системах с промотирующими добавками, с целью определения условий и эффективности хранения газа в твердом гидратном состоянии. Диссоциация гидратов, сформированных из жидких растворов или дисперсных систем, осуществлялась экспериментальными методами с использованием реактора высокого давления в диапазоне температур 263–268 К, то есть близких к температурам залегания многолетнемерзлых пород. Показано, что гидрат метана, сформированный из жидких растворов поверхностно-активных веществ – соевого лецитина и додецилсульфат натрия, обладает высокой пористостью, вследствие чего практически не способен к самоконсервации и не может применяться при реализации газогидратных технологий хранения газа. При этом добавка водорастворимого полимера поливинилового спирта в концентрации 0,3 мас.% приводит к росту более плотного гидрата метана, способного к самоконсервации при температуре 268 К. Данные, полученные в работе, могут быть использованы при разработке газогидратных технологий хранения природного газа в твердом гидратном состоянии.
Одним из эффективных методов борьбы с ростом концентрации диоксида углерода в атмосфере является его секвестрация в пористых средах в твердой газогидратной форме. Уникальные свойства газовых гидратов, такие как их высокая газоемкость, низкая проницаемость и естественная стабильность, делают их привлекательным вариантом для долговременного захоронения СО2 . В статье в рамках рассмотрения проблематики организации геологического газогидратного хранилища диоксида углерода записана математическая модель, позволяющая осуществить теоретическое изучение процесса образования гидрата СО2 при его закачке в пласт, поры которого в исходном состоянии заняты метаном и водой. В предложенной математической модели осуществлен учет зональной неоднородности пористого коллектора, течения в нем при наличии фазовых превращений (гидратообразование и растворимость диоксида углерода в воде) газовой (СН4 и/или СО2 ) и жидкой (вода и растворенный CO2 ) фаз, переноса тепла из рассматриваемой области пласта в окружающие горные породы; процесс гидратообразования рассматривается как равновесный фазовый переход. Представлены расчетные уравнения для изучаемого в работе процесса и построены численные решения задачи, описывающие распределения параметров (температуры, давления, насыщенностей фаз) в пласте. Расчетным путем показано, что при закачке СО2 в пласт в нем возможно формирование нескольких характерных зон, отличающихся по составу насыщающих их флюидов. Продемонстрирована необходимость учета при описании температурного поля в пласте таких факторов, как теплота, выделяемая при фазовых переходах, эффект Джоуля-Томсона, теплообмен пористого коллектора с окружающими горными породами. Приведены и проанализированы результаты вычислительных экспериментов при размещении нагнетательной скважины в высоко- или низкопроницаемом участке пористого коллектора. Проведенное численное исследование показало, что для организации эффективного газогидратного хранения диоксида углерода необходимы пористые среды с достаточно высокими значениями проницаемости.
ГЕОЛОГО-ГЕОХИМИЧЕСКИЕ И ГЕОФИЗИЧЕСКИЕ ИССЛЕДОВАНИЯ
Представлено петрофизическое обоснование применения метода отраженных электромагнитных волн (МОЭМВ) для дифференциации геологического разреза по электрическим свойствам, в том числе в целях исследования криолитозоны и изучения внутримерзлотных и подмерзлотных вод. Произведен анализ результатов экспериментальных работ МОЭМВ на территории нефтегазового участка недр на территории Республики Саха (Якутия) в 2023 г., включая исследование полученного распределения интервальной скорости электромагнитного сигнала с глубиной по ряду измерений. Представлен результат обработки данных в виде «виртуальной скважины» – вертикального распределения удельного электрического сопротивления с детальностью 2–5 м по глубине. Достоверность результатов МОЭМВ подтверждается их устойчивым соответствием по всем произведенным измерениям и геологической информации на глубинах не менее 500 м, в частности характеру залегания мерзлых пород и положению водонасыщенных пород. Показаны преимущества МОЭМВ такие как: чувствительность исследуемого параметра (скорости электромагнитного сигнала) к изменению физических свойств горных пород, повышенная детальность и необязательность наличия априорной геолого-геофизической информации для проведения количественной интерпретации данных измерений.
Статья носит обзорный характер, где представлены результаты глубинных геолого-геофизических исследований, выполненных на юге Камчатки и в ближайшей акватории Тихого океана. Приведено описание объемной плотностной модели и ее анализ в комплексе с другими данными. Дополнена информация о структурном положении Толмачёвского активного магматического центра (ТАМЦ) и его происхождении. В результате исследований выявлен мантийный выступ, который имеет замкнутые контуры и образован в Начикинской зоне поперечных дислокаций не позднее раннего миоцена. Размеры большой и малой осей выступа составляют соответственно ~ 123 и 84 км. В нижней части мантийного выступа на глубине 35–45 км выделяются локальные участки разуплотнения, отождествляемые с очагами плавления. Причиной образования выступа может быть давление магмы ультраосновного состава из верхней мантии и ее последующее внедрение в нижние слои земной коры. Внедрение происходило по ослабленной зоне, сформированной на начальном этапе сдвиговой дислокации, происходившей в миоцен-плиоценовое время. Дифференциация магмы, поступающая в земную кору из очагов плавления, а также тепловые потоки из этих же источников образуют участки очагового выплавления и, как следствие, приводят к формированию интрузивного массива среднесреднекислого состава. Периодическое продвижение магмы по ослабленной зоне в районе ТАМЦ сопровождается роем слабых землетрясений. ТАМЦ генетически связан с мантийным выступом и является его составной частью.
Зоны перегиба субдуцирующей океанической литосферы являются участками накопления тектонического напряжения и его периодической разгрузки в виде землетрясений. Наиболее высокая плотность сейсмических событий с магнитудой М ≥ 5 наблюдается в сейсмическом линеаменте, расположенном наиболее близко к береговой линии – в зоне максимального перегиба слэба в интервале глубин ~ 30–50 км.
С целью оценки перспектив нефтегазоносности зоны сочленения Сибирской платформы и тектонических структур южной части моря Лаптевых выделены и изучены с применением методов численного моделирования очаги нефтегазогенерации верхнерифейской, вендской, девонской, пермской и верхнеюрской нефтегазоматеринских толщ (НГМТ). Оценено влияние крупных тектонических перестроек, происходивших в регионе во второй половине палеозоя и мезозое, на реализацию генерационного потенциала материнскими толщами. Показано, что все изученные НГМТ, за исключением верхнеюрской, на большей части области их распространения преодолели критический момент до завершения крупных тектонических событий в регионе, что негативно отразилось на формировании углеводородного потенциала района исследования. В результате невысокие перспективы прогнозируются в континентальной части зоны сочленения, где при наличии флюидоупоров ожидаются небольшие месторождения в отложениях венда Лено-Анабарского прогиба. Значительный углеводородный потенциал, где целесообразно сосредоточить дальнейшие нефтегазопоисковые исследования, прогнозируется в южной части моря Лаптевых и прилегающем побережье в пределах Анабаро-Хатангской седловины. Основные перспективы этой области связываются с пермскими и мезозойскими отложениями.
В работе представлены результаты изучения ароматических соединений (фенантренов, дибензотиофенов, ароматических стероидов) в битумоидах баженовской свиты Томской области (юго-восток Западной Сибири). Среди соединений фенантренового и дибензотиофенового рядов, помимо голоядерных и монометилзамещенных структур, идентифицированы их ди- и триметилзамещенные гомологи. Сравнительный анализ относительных концентраций основных групп ароматических соединений, рассчитанных двумя способами (с учетом и без учета ди- и триметилфенантренов и дибензотиофенов), показал их идентичность. Установлено, что основным фактором, контролирующим содержание и распределение ароматических соединений, является степень зрелости органического вещества. Наиболее информативные молекулярные показатели зрелости для органического вещества баженовской свиты низких и средних градаций катагенеза (ПК3 -МК1 2 ) – отношения 4-МДБТ/1-МДБТ, ТАСИ, ТАС/МАС, а также ТМТГФ/1,7,8-ТМФ.
В статье приводится характеристика микрофаций и комплексов фораминифер тульского горизонта визейского яруса по разрезам скважин Предуральская-106, Октябрьская-106 восточной части Волго-Уральского субрегиона и разреза Сиказа 2 западного склона Южного Урала. Возраст отложений соответствует фораминиферовой зоне Endothyranopsis compressa – Paraarchaediscus koktjubensis России. На основе изучения микроструктур карбонатных пород выделены шесть микрофаций (МФ), отличающихся по компонентному составу и текстурам. Известняки относятся преимущественно к мелкозернистым полибиокластовым пакстоунам. Основными компонентами (зернами) являются остатки трубчатых водорослей, фораминифер, иглокожих (преимущественно криноидей), остракод, редко мшанок и брахиопод, а также кальцисферы, пелоиды и интракласты. Формирование отложений происходило в условиях открытого мелководного полого погружающегося шельфа рампового типа с различной гидродинамикой. Приводится анализ распределения микрофаций по разрезам и связь с ними комплексов фораминифер.
Впервые получена информация о возрасте пород – источников цирконовой кластики для отложений старопетровской свиты венда Волго-Уральского осадочного бассейна. В результате U-Pb (LA-ICP-MS) датирования детритовых цирконов из песчаников старопетровской свиты в скважине Красноусольская, расположенной в Предуральском краевом прогибе, получен широкий временной диапазон возрастов цирконовой кластики: от архея – 3247 млн лет до венда – 577 млн лет. Особенности распределения возрастных популяций цирконов из песчаников старопетровской свиты свидетельствовали о поступлении обломочного материала в Волго-Уральский бассейн преимущественно из местных питающих провинций. Источником наиболее древней (2944–2660 млн лет и 2507–1831 млн лет) популяции цирконов для песчаников старопетровской свиты предполагаются архей-палеопротерозойские образования Тараташского метаморфического комплекса Южного Урала и кристаллические породы фундамента платформы Волго-Уральской области. Для детритовых цирконов с возрастами 1720–1472 млн лет, 1390–1044 и 736–653 млн лет, отвечающим раннему, среднему и завершающему рифею, в качестве потенциальных источников цирконовой кластики рассматриваются имеющие современные изотопные датировки по циркону и бадделеиту интрузивные и вулканогенные образования навышского, машакского и игонинского магматических комплексов рифея Южного Урала и базальты актанышского (скв. 203 Мензелино-Актанышская) и кипчакского (скв. 1 Кипчакская) вулканогенных комплексов Волго-Уральской области. В местных питающих провинциях не установлены источники цирконов с возрастами 964–851 млн лет и 643–603 млн лет, что, вероятнее всего, связано с недостаточной изотопно-геохронологической изученностью осадочных и магматических комплексов докембрия Восточно-Европейской платформы и её складчатого обрамления. Среди докембрийских образований особое место занимают вендские отложения, к которым в Волго-Уральской области приурочены многочисленные проявления нефти и газа, что делает отложения венда привлекательным объектом на поиски углеводородов.
ПОИСК, РАЗВЕДКА И РАЗРАБОТКА МЕСТОРОЖДЕНИЙ УГЛЕВОДОРОДОВ, ИССЛЕДОВАНИЕ КОЛЛЕКТОРОВ
Скважинные имиджеры являются мощным инструментом для исследования сложнопостроенных коллекторов, предоставляя уникальную информацию о структурных и текстурных особенностях изучаемых пластов, в том числе информацию в масштабе кернового материала. Развитие методов обработки и интерпретации позволяет оптимизировать существующие подходы к оценке имиджей на качественном и количественном уровнях. Они также способствуют повышению эффективности и качества работы с имиджами за счёт новой пообъектной информации. В данной работе предлагается современная методика анализа имиджей, основанная на результатах обработки большого и уникального объёма накопленных данных с применением технологий машинного обучения. Разработанные алгоритмы позволяют автоматизировать процесс предобработки имиджей, а также процесс структурно-текстурной декомпозиции. Применение глубоких нейронных сетей обеспечило выделение целевых объектов с точностью более 90%, а алгоритмы компьютерного зрения позволили получить их количественную характеристику в виде оценки размеров, форм, ориентаций и топологий. Области применения предлагаемой методики включают в себя: седиментологический анализ (в частности, обнаружение тонких пропластков); дополнение к программам исследований сплошного и бокового керна; дополнение к программам исследований с помощью пластоиспытателя на кабеле (детальное описание особенностей коллекторов в интервалах, не охарактеризованных керном); дополнительная информация для обработки и интерпретации комплекса геологических и геофизических данных (моделирование пласта с использованием детерминированного подхода, критерии распределения для стохастического моделирования, определение петрофизических параметров с высокой степенью достоверности).
Настоящая статья посвящена изучению геологических особенностей карбонатных продуктивных пластов нефтяных месторождений и выявлению взаимосвязей между фильтрационными и емкостными свойствами коллекторов со сложным строением пустотного пространства. Зависимость проницаемости коллектора от его пористости, называемая петрофизической, используется при решении широкого спектра задач, в том числе при геолого-гидродинамическом моделировании. Сложное строение пустотного пространства карбонатных коллекторов обуславливает неоднозначный вид петрофизической зависимости и, как следствие, недостаточную достоверность основанных на ее применении расчетов. Так, применительно к рассматриваемой в статье залежи, уравнение, связывающее проницаемость и пористость, получено дифференцированно для порового и трещинного типа пустотности коллектора и характеризуется значениями коэффициента детерминации R2 = 0,81 и R2 = 0,16 соответственно. Проведение расширенного комплекса лабораторных исследований карбонатных образцов керна одного из месторождений Пермского края, в том числе включающего методы ядерно-магнитного резонанса, сканирующей электронной микроскопии и рентгеновской компьютерной томографии, позволило разработать новые, справедливые для всех типов пустотности зависимости, более тесно связывающие фильтрационную и емкостную характеристики коллектора (коэффициент детерминации R2 превышает 0,92). Целесообразность использования разработанных уравнений подтверждена посредством проведения вычислительного эксперимента: применение полученного уравнения позволило улучшить прогностические способности геолого-гидродинамической модели залежи как по дифференциальным, так и интегральным показателям разработки (годовая и накопленная добыча нефти соответственно). Результаты исследования и примененные подходы могут быть использованы при решении задач проектирования и моделирования разработки карбонатных коллекторов для повышения качества адаптации исторических данных в геолого-гидродинамических моделях, а также увеличения степени достоверности выполняемых расчетов за счет более детального учета особенностей строения пустотного пространства горной породы.
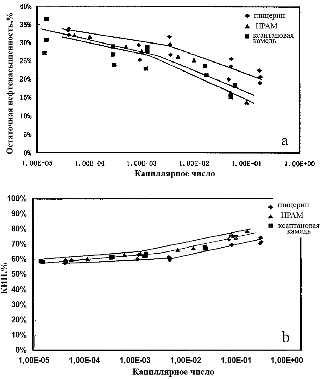
Представлены экспериментальные результаты изучения кривых капиллярного вытеснения при химических методах повышения нефтеотдачи. Проведён анализ теории капиллярного числа и изменений этого параметра при химических методах повышения нефтеотдачи. Проанализированы результаты исследований кривых капиллярного вытеснения и выявлены общие закономерности и особенности поведения этих кривых в различных экспериментальных условиях. Анализ показал, что при изменении смачиваемости пласта, пористости, проницаемости и поровой структуры кривые капиллярного вытеснения изменяются. В изменяющихся пластовых условиях классические кривые капиллярного вытеснения, ранее полученные в ходе базовых экспериментов, не позволяют осуществлять прогноз остаточной нефтенасыщенности, и кроме того, максимальная нефтеотдача не соответствует максимальным значениям капиллярных чисел. В практике разработки нефтяных месторождений, как правило, нет необходимости в использовании высоких концентраций поверхностно-активных веществ для снижения поверхностного натяжения до сверхнизкого уровня. Добавление полимера и щелочи (в соответствующей концентрации) обеспечивает высокое нефтеизвлечение за счёт взаимодействия поверхностно-активных веществ, полимера и щелочи. В настоящее время в Китае технологии ASP заводнения (alkaline-surfactant-polymer flooding – щёлочное заводнение и совместное применение щелочи, ПАВ и полимера) является наиболее эффективным методом повышения нефтеотдачи на заводнённых нефтяных месторождениях и даёт хорошие результаты. Поэтому необходимо исследовать микромеханизмы подвижности и фильтрации остаточной нефти. Исследования кривой капиллярного вытеснения, с учётом структуры коллектора и его базовых фильтрационных характеристик, имеют определяющее значение при разработке нефтяных месторождений Китая, также эти кривые могут быть использованы в мировой практике в качестве основы для повышения нефтеотдачи с помощью третичных методов.
В статье рассмотрены особенности исследования фильтрации газированной нефти при давлении ниже давления насыщения и методика выполнения специальных керновых исследований. Особое внимание уделено техническим и методологическим аспектам экспериментальных работ: требованиям к лабораторному оборудованию, дизайну экспериментов, подготовке рекомбинированных проб достаточного объёма, интерпретации и анализу результатов исследований. Эксперименты проводились для двух литотипов пород-коллекторов на удлинённых керновых моделях (84 см) с использованием рекомбинированной модели пластовой нефти газосодержанием ≈ 50 м3 /м3 и давлением насыщения ≈ 80 бар. По результатам исследований получены индикаторные кривые керновых моделей в диапазоне давлений отбора от 30 до 70 бар. Оценено снижение коэффициента продуктивности вследствие возникновения и развития двухфазной фильтрации нефти и газа. Результаты экспериментальных исследований проанализированы с учётом теоретических представлений об исследуемых процессах.
Для корректного моделирования фазового поведения флюида и точного учета компонентного состава, долей и свойств присутствующих в пласте фаз при разработке месторождений углеводородов в некоторых случаях необходимо использовать модели неравновесного фазового поведения.
Наблюдаемые при разработке месторождений признаки неравновесного фазового поведения флюидов могут быть связаны с различными факторами. Экспериментально показано, что так называемая термодинамическая неравновесность (когда фазовый переход нельзя считать мгновенным по сравнению с характерным темпом изменения параметров состояния системы) проявляется при ограниченной удельной площади поверхности раздела фаз. «Гидродинамическая неравновесность» (отличие фактической пропорции добываемых фаз от ожидаемой) может возникать при высоких скоростях отбора по той причине, что одна из фаз не успевает сегрегировать и переносится в виде взвеси во второй фазе, без формирования отдельной сплошной среды. Правильная идентификация типа наблюдаемой неравновесности является ключевым фактором при выборе корректной модели.
В статье рассмотрены особенности различных моделей учета неравновесного фазового поведения. Проанализированы примеры их практического применения при различных проявлениях неравновесного фазового поведения и причинах его возникновения. Обсуждается проблема моделирования фильтрации, сопровождающейся неравновесными фазовыми переходами.
Россия обладает крупнейшей в мире ресурсной базой природного газа. При этом значительная часть запасов газа относится к трудноизвлекаемым (ТРИЗ), а его поставки на рынок (прежде всего трубопроводным транспортом) в современных условиях связаны с преодолением серьезных препятствий. Поэтому одним из ключевых приоритетов развития отрасли должно стать производство высокотехнологичного газа – газа, добываемого из ТРИЗ и/или поставляемого на рынок в виде сжиженного природного газа (СПГ). Его производство предполагает применение как инновационных технологий, так и новых форм координации участников процессов его производства.
Проекты по производству высокотехнологичного газа (ВТ-газа) могут успешно реализоваться только при снятии ряда ограничений. Особо следует отметить: (1) технологические проблемы, решение которых требует применения новых видов оборудования, материалов и услуг; (2) организационно-экономические проблемы, которые связаны с повышенным уровнем издержек в отдельных звеньях технологических цепочек.
Выполненные авторами оценки показывают, что дополнительные налоговые стимулы при разработке ТРИЗ газа – ачимовских и юрских залежей – позволяют вывести проекты их освоения на требуемый инвесторами уровень рентабельности. При этом налоговые поступления государства будут на уровне доходов, получаемых при добыче аналогичного объема сеноманского газа. Такой эффект связан с включением в состав целевых продуктов газового конденсата. В свою очередь, при реализации СПГ-проектов, даже в случае использования налоговых стимулов, поступления государству не ниже, чем при существующем налогообложении добычи газа и его поставках трубопроводным транспортом. Это обстоятельство связано с тем, что СПГ-проекты характеризуются более высокой капиталоемкостью и большей гибкостью направлений поставок и последующего использования сжиженного газа.
Показано, что для увеличения добычи и производства ВТ-газа важную роль играет формирование условий для ускоренного развития смежных отраслей, прежде всего, нефтегазового сервиса и машиностроения, что может быть обеспечено только при тесной кооперации участников этих проектов с использованием механизмов индикативного планирования.
Важно
2025-09-16
Утверждена российская часть Единого государственного перечня научных изданий — «Белого списка»
Российский центр научной информации сообщает об утверждении российской части Единого государственного перечня научных изданий – «Белого списка». Журналу «Георесурсы» присвоен 1 (высший) уровень.
Еще объявления... |
ISSN 1608-5078 (Online)